Training Schedule
Training for Infrared and EMT professionals world-wide.
Training for Infrared and EMT professionals world-wide.
Can’t get away from work or find the time to travel to the class?
Our free whitepapers are grouped by subject area.
Toll-Free: 1-800-636-9820
Refractory is the type of insulation used in high heat applications such as boilers and furnaces. It is usually installed in brick form and this material is subject to degradation during normal use. Infrared thermography is a very efficient method of inspecting refractory insulation while it’s in use, and therefore not disrupting operations. At what point do we determine that refractory insulation is missing or damaged and in need of repair? The simple answer to that question is, whenever there is a difference in temperature across the outer surface of the vessel. At this point, a thermographer may opt to use an isotherm palette as seen above in the image. This palette helps to emphasize or highlight these areas that possibly could be an area where refractory is breaking down.
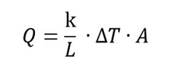
Let us take a look at the thermodynamics involved and, more importantly, how energy travels through solid material and what material properties affect the rate of heat transfer. Let us look at Fourier’s Law of Conduction:

For instance, if we are inspecting the side of a boiler combustion chamber, what would change to create a hot spot on the exterior surface of the chamber? The conductivity of the refractory hasn’t changed in just one isolated location. The area of the chamber hasn’t changed; the boiler didn’t get larger or smaller. The Delta T hasn’t changed in the location of the hot spot. The only thing that could’ve changed is the thickness of the refractory in that location. This is provided there is no variation in wall construction, no blockage or loss of cooling air on the wall at that location, and no change in emissivity. Also, no variation on the hot face wall temperature, possibly caused by flame impingement.
We have located an area of thinning refractory, now what? How do we determine if it is, in fact, a problem? Refer to your SOP on refractory inspections. Don’t have one? That’s not a problem. One method is to talk to the manufacturer of the equipment to determine what their views are. Another approach is to talk with the operations and maintenance groups from that plant and determine what they consider to be a failure of the refractory. Also, speak with the safety department for that plant and see if they have different ideas as far as what is an acceptable surface temperature for that piece of equipment as it concerns the safety of plant personnel.
All of the above must be considered when deciding what should be an “alarm point” for that piece of equipment. In general, terms, if the efficacy of the device is affected, there is a possible hazard to personnel or a disruption of the process; these are all potential alarm points. Any, and all, suspected faults should be noted and forwarded to the proper departments.
Some basic knowledge of conductive heat transfer will help you understand the thermal patterns that you see and will help you determine what’s a problem and what’s not. Clear communication with various departments such as maintenance, operations, and safety will help you determine your alarm points and solutions for faults found. Keep these points in mind when inspecting high heat devices and equipment for a more effective and efficient inspection. Data supporting alarm points may be calculated using heat transfer formulas supporting energy conservation, energy in equals energy out. We demonstrate these formulas in our level 2 and level 3 classes.