Training Schedule
Training for Infrared and EMT professionals world-wide.
Training for Infrared and EMT professionals world-wide.
Can’t get away from work or find the time to travel to the class?
Our free whitepapers are grouped by subject area.
Toll-Free: 1-800-636-9820
El aislante térmico refractario se utiliza en aplicaciones de alta temperatura como por ejemplo, calderas, hornos, etc. Usualmente se instala en forma de ladrillos que por lo general están expuestos a degradación por el uso cotidiano. La termografía infrarroja es un método muy eficiente para inspeccionar el aislante refractario mientras está en funcionamiento, sin interrumpir las operaciones. Entonces, ¿en qué punto podríamos determinar si el aislante refractario está dañado y necesita ser reparado? La respuesta corta, al momento de existir una diferencia térmica en la superficie del equipo. En dicho momento el usuario de la termografía podría optar por usar una paleta isotérmica para hacer énfasis o resaltar las áreas donde probablemente el aislante refractario está dañado, como se observa en la imagen anterior.
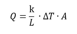
Analicemos la teoría termodinámica envuelta en dichas situaciones, sobre todo en como la energía viaja a través de un material sólido, así como las variables que afectan la transferencia de calor por conducción, según la ley de Fourier:

Q = Energía total transferida
K = Conductividad térmica
L = Grosor
A = Área
ΔT = Diferencia de temperatura entre las superficies interior y exterior
Por ejemplo, si inspeccionamos la cámara de combustión de una caldera, ¿Qué sería necesario para que se genere un punto caliente en la superficie? Podríamos pensar que no sería posible que la conductividad térmica del material refractario haya cambiado en un solo punto aleatorio, el área de la caldera tampoco ha cambiado pues no se ha hecho más grande o pequeño. El Delta T tampoco ha cambiado pues está ubicado en el mismo lugar, lo único que pudo haber cambiado es el grosor del aislante refractario en dicho punto.

Hemos localizado un posible punto donde el aislamiento refractario es menos grueso, y ¿Ahora qué? ¿Cómo determinamos si en realidad es un problema? Podríamos investigar el ‘Procedimiento Estándar de Operación’ de la empresa para la que trabajamos, ¿pero y si no se cuenta con uno? Podríamos tratar de contactar al fabricante o distribuidor del equipo para conocer su punto de vista. También podríamos hablar con la persona en nuestra empresa encargada de la operación y/o mantenimiento del equipo para determinar lo que se considera como una falla en el refractario. También podríamos hablar con el departamento de seguridad industrial para conocer sus ideas de lo que debería ser la temperatura superficial aceptable para dicho equipo en relación con el personal.
Todo lo anterior debe ser considerado al decidir cual debería ser una ‘alarma de temperatura’ para dicho equipo. En términos generales, si la eficiencia del equipo se ve afectada, o si existe un riesgo potencial para el personal, o si se puede interrumpir los procesos de funcionamiento normales; todo lo anterior indicaría que una potencial falla debería ser reportada a los departamentos o personas adecuadas.

El conocimiento básico de la teoría de transferencia de calor nos ayudará a conocer los patrones térmicos y a determinar si se trata de un problema o no. La clara comunicación entre los diferentes departamentos de una compañía, por ejemplo, mantenimiento, operaciones, seguridad industrial, etc; nos ayudará a determinar puntos de alarmas y posibles soluciones para potenciales fallas. Mantengamos todo lo anterior en mente al inspeccionar dispositivos de alta temperatura para una inspección termográfica más efectiva.